SIP Calculator 2026 – Plan Your Mutual Fund Returns

SIP & Stock Calculator (Daily / Monthly / Yearly)

Plan Your Wealth with the Stocksbaaz SIP Calculator

Building long-term wealth doesn’t require a massive windfall; it requires discipline and the power of compounding. Whether you are planning for a comfortable retirement, your child’s higher education, or simply your first ₹1 Crore, the Stocksbaaz SIP Calculator is your ultimate roadmap. In the evolving market landscape of 2026, where earnings-driven growth is the key to portfolio success, a Systematic Investment Plan (SIP) remains the most effective way to navigate market volatility through rupee cost averaging.

Why Use an Online SIP Calculator?

Estimating your returns manually can be complex, especially when factoring in the monthly compounding effect. Our tool takes the guesswork out of financial planning. By simply entering your monthly investment amount, tenure, and expected rate of return, you get an instant, high-precision projection of your future wealth.
Smart Investing in 2026
As we move through 2026, Indian equity markets continue to offer robust opportunities for disciplined investors. With the latest tax regulations—including the 12.5% Long-Term Capital Gains (LTCG) tax on gains exceeding ₹1.25 lakh—having a clear picture of your "net" maturity value is more important than ever. Our calculator helps you visualize different scenarios:
- Conservative: 8-10% (for debt-hybrid or stable large-caps)
- Moderate: 12-15% (the historical sweet spot for diversified equity)
- Aggressive: 15%+ (for high-growth mid and small-cap focused portfolios)
The secret to wealth isn't timing the market; it's time in the market. Use the calculator below to see how increasing your SIP by just 10% every year—a "Step-up" strategy—can potentially double your final corpus. Start your journey toward financial freedom today with Stocksbaaz.com.

1.What is a SIP Calculator?

A SIP Calculator is a free online tool that helps you estimate the future value of your mutual fund investments. By entering your monthly investment, expected return rate, and tenure, you can visualize how the power of compounding grows your wealth over time.

2.How do I use the Stocksbaaz SIP Calculator?

To calculate your returns, simply input your monthly SIP amount, the expected annual return percentage, and the number of years you plan to invest. The tool will instantly display the total amount invested, the wealth gained, and the final maturity value.

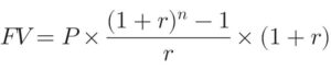
3.How are SIP returns calculated?

Our calculator uses the standard Future Value (FV) formula:
Where:
P = Monthly investment
r = Monthly rate of return (Annual rate / 12 / 100)
n = Total number of installments